Предмет:
Тема:
Понятие алгоритма, основные алгоритмические структуры
Вопрос:
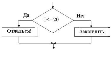
Команду «Отжаться от пола двадцать раз!» можно представить в виде фрагмента блок-схемы …
Ответы:
+ 

− 

− 

− 

Решение:
В команде «Отжаться от пола двадцать раз!» имеется указание повторить некоторое действие (отжаться от пола). Алгоритмические структуры, описывающие повторяющуюся последовательность действий, называются циклическими (циклами). В нашем случае количество повторений действия известно заранее. Алгоритмическая структура, описывающая подобные циклы, называется «цикл с параметром», или «цикл со счетчиком». В блок-схемах такая структура изображается как
.
Таким образом, команду «Отжаться от пола двадцать раз!» можно представить фрагментом блок-схемы
.
ответ тест i-exam
.Таким образом, команду «Отжаться от пола двадцать раз!» можно представить фрагментом блок-схемы
.ответ тест i-exam